

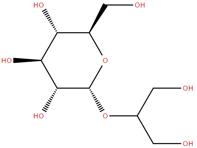
化學(xué)名稱:  | 甘油葡糖苷  | 
英文名稱:  | GLYCERYL GLUCOSIDE  | 
CAS號:  | 22160-26-5  | 
HS編碼  | 3824999999  | 
化學(xué)式:  | C9H18O8  | 
分子量:  | 254.234  | 
中文別名:  | 甘油葡萄糖苷; 格萊可因; 極美絲GG; 甘油葡糖苷; 格萊可因(甘油葡糖苷); 甘油葡糖苷復(fù)活草提取物; 2-O-(Α-D-吡喃葡萄糖基)-甘油  | 
英文別名:  | glucosylglycerol(格萊可因) glucosylglycerol; 2-O-α-D-Glucosylglycerol;Extremys GG; GLYCERYL GLUCOSIDE; 2-O-α-D-Glucosylglycerol: Glucosylglycerol: Extremys GG: Glycoin: GLYCERYL GLUCOSIDE; Skycore AGG  |